吖啶磺酰胺鹽-N-乙胺基馬來酰亞胺 (NSP-SA-N-Mal)
- 別名:NSP-SA-N-Mal
- 編碼:ECD0719A
- 級別:
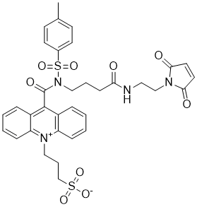
- 簡介:吖啶磺酰胺鹽-N-乙胺基馬來酰亞胺 NSP-SA-N-Mal的末端含有馬來酰亞胺官能團,可以標記蛋白質、抗體或含有巰基的核酸。
基礎信息
| 中文名 | 吖啶磺酰胺鹽-N-乙胺基馬來酰亞胺 (NSP-SA-N-Mal) |
| 英文名 | 3-(9-((4-((2-(2,5-dioxo-2,5-dihydro-1H-pyrrol-1-yl)ethyl)amino)-4-oxobutyl)(tosyl)carbamoyl)acridin-10-ium-10-yl)propane-1-sulfonate |
產品介紹
吖啶磺酰胺鹽-N-乙胺基馬來酰亞胺 NSP-SA-N-Mal的末端含有馬來酰亞胺官能團,可以標記蛋白質、抗體或含有巰基的核酸。

質量指標
MSDS
相關資料
相關產品
clicks:785



